
우선주 (Preferred shares)는 주식과 채권의 특성을 가지고 있어 보통주와는 조금 다른 평가를 합니다. 우선주 소유자는 보통주와 마찬가지로 보유 주식에 비례하여 회사의 지분을 소유하게 됩니다.
우선주는 보통주와 회사채의 특성을 결합한 일종의 하이브리드 증권입니다.
핵심 사항
-
기술적으로는 지분 증권이지만 일관된 배당금을 지불하고 의결권이 없기 때문에 채무 상품과 많은 특성을 공유합니다.
-
우선 주주는 회사의 소득보다 우선순위가 있습니다.
-
즉, 일반 주주보다 먼저 배당금을 받고 파산 시 우선권을 갖습니다.
-
결과적으로 우선주는 배당 성장 모델과 같은 기법을 사용하여 평가해야 합니다.
우선주 고유의 특징
우선주는 회사 자산에 대한 우선권 주장이 있다는 점에서 보통주와 다릅니다. 즉, 기업 파산의 경우 우선 주주가 일반 주주보다 먼저 청산 지급을 받습니다.
또한 우선 주주는 회사에서 발행 한 채권과 유사한 고정 지급금을 받습니다. 지급은 회사의 정책에 따라 분기별, 월별 또는 연간 배당의 형태로 이루어지며 우선주에 대한 평가 방법의 기준이 됩니다.
일반적으로 배당금은 주가의 백분율 또는 달러 금액으로 고정됩니다. 이것은 일반적으로 꾸준하고 예측 가능한 소득 흐름입니다.
평가 모델
우선주에 고정 배당금이 있는 경우 이러한 각 지급액을 현재까지 할인하여 가치를 계산할 수 있습니다. 이 고정 배당금은 보통주로 보장되지 않습니다. 이 지불금을 받고 현재 가치의 합계를 영구히 계산하면 주식의 가치를 찾을 수 있습니다.
예를 들어, ABC Company가 매달 25 센트의 배당금을 지불하고 필요한 수익률이 연간 6 % 인 경우 배당금 할인 접근 방식을 사용하는 주식의 예상 가치는 $ 50입니다. 할인율을 12로 나누어 0.005를 얻었지만 연간 배당금 $ 3 (0.25 x 12)를 사용하고 연간 할인율 0.06으로 나누어 $ 50을 얻을 수도 있습니다. 즉, 미래에 발행되는 각 배당금을 현재로 되돌려 할인한 다음 각 값을 합산해야 합니다.

예를 들면 :

모든 배당금이 동일하기 때문에 이 방정식을 다음과 같이 줄일 수 있습니다.

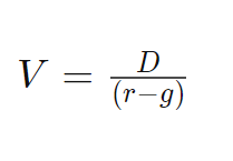
배당금이 증가하는 경우
배당금에 예측 가능한 성장 이력이 있거나 회사에서 지속적인 성장이 발생할 것이라고 명시한 경우 이를 설명해야 합니다. 계산은 Gordon 성장 모델로 알려져 있습니다.

성장 숫자를 빼면 현금 흐름이 더 낮은 숫자로 할인되어 더 높은 가치를 얻게 됩니다.
고려 사항
우선주는 일반적으로 보장되는 배당금을 제공하지만 배당금을 수용할 수 있는 충분한 수입이 없으면 지급이 삭감될 수 있으므로 이 위험을 고려해야 합니다. 배당률 (수익 대비 배당금)이 증가하면 위험이 증가합니다. 또한 배당금이 증가할 가능성이 있다면 주식의 가치는 위에 주어진 계산 결과보다 높아질 것입니다.
우선주는 보통 보통주의 의결권이 없습니다. 이것은 많은 양의 주식을 소유 한 개인에게는 귀중한 기능 일 수 있지만 일반 투자자 에게는 이 의결권 이 그다지 가치가 없습니다. 그러나 우선주의 시장성을 평가할 때는 여전히 이를 고려해야합니다.
우선주는 채권과 유사한 내재 가치를 가지며, 이는 금리에 반비례할 것임을 의미합니다. 시장 금리가 상승하면 우선주의 가치가 하락합니다. 이는 다른 투자 기회를 설명하기 위한 것이며 사용된 할인율에 반영됩니다.
주목해야 할 또 다른 점은 주식에 콜 규정이 있는지 여부이며, 이는 본질적으로 회사가 미리 정해진 가격으로 주식을 시장에서 꺼낼 수 있도록 합니다. 우선주를 콜 할 수 있는 경우 매수자는 콜 제공이 없는 경우보다 적게 지불해야 합니다. 이는 발행 회사가 기본적으로 더 낮은 배당금으로 신주를 발행할 수 있어서 발행 회사에 이익이 되기 때문입니다.
결론
우선주는 지속적인 수입과 잠재적인 가치 상승을 제공하는 주식 투자 유형입니다. 이 두 가지 기능은 가치를 결정할 때 고려되어야 합니다. 배당금 할인 모델을 사용한 계산은 필요한 수익률, 성장률 또는 더 높은 수익률과 같은 관련 가정 때문에 어렵습니다.
배당금 지급은 일반적으로 찾기 쉽지만 이 지급금이 변경되거나 잠재적으로 향후 변경될 수 있는 경우 어려운 부분이 발생합니다. 또한 적절한 할인율을 찾는 것이 매우 어려울 수 있으며 이 숫자가 꺼져 있으면 계산된 주식 가치를 크게 변경할 수 있습니다.
출처: investopedia "Determining the Value of a Preferred Stock"
'투자 공부 > 기업 가치 평가' 카테고리의 다른 글
| 최고의 주식 평가 방법 골라볼께요~! (0) | 2020.11.25 |
|---|---|
| "정성적 분석" 이란 무엇일까요? - Qualitative Analysis (0) | 2020.11.23 |
| 기업 실사 (Due Dilligence), 10단계로 쉽게 배워보기 (0) | 2020.11.22 |
| 주식 가치 평가의 기본 요소 4가지! PER, PBR, PEG, 배당 수익률 (0) | 2020.11.20 |
| 주식 평가 시, 비교 평가 방법 (Comparables) 이란 무엇일까요? (0) | 2020.11.18 |
댓글